El Datchball como recurso pedagógico para implementar estrategias motivacionales en Educación Física

Datchball as a Pedagogical Resource for Implementing Motivational Strategies in Physical Education

David Gutiérrez-Brito

Facultad de Educación y Psicología, Universidad de Extremadura (España)

Sebastián Feu

Facultad de Educación y Psicología, Universidad de Extremadura (España)

Susana Sánchez-Herrera

Facultad de Educación y Psicología, Universidad de Extremadura (España)

Juan Manuel Garcia-Ceberino

Facultad de Educación y Psicología, Universidad de Extremadura (España)

NÚM. 24

ISSN 2341-1473
https://doi.org/10.33776/EUHU/remo.vi24.9145

Resumen:

El objetivo de este estudio cuasi-experimental fue analizar el impacto de una situación educativa centrada en la práctica del Datchball, junto con el apoyo de las necesidades psicológicas básicas por parte del docente de Educación Física, así como comparar este impacto con un grupo control sin el apoyo específico de estas estrategias motivacionales. Participaron 37 alumnos y alumnas (M±DT: 10,50±0,93 años) de quinto nivel de Educación Primaria de un colegio público de España. Así, la selección del grupo-clase para participar en el grupo experimental (n=20) o en el grupo control (n=17) se realizó aleatoriamente. Se midió la satisfacción de las necesidades psicológicas, los tipos de motivación y la intención del alumnado de ser físicamente activos antes y después de implementar la situación educativa. Las escalas señalaron una consistencia interna aceptable y muy buena (α>,70; ω>,70). Las diferencias inter-grupos se calcularon mediante las pruebas T de Student para muestras independientes y U de Mann-Whitney. Las diferencias intra-grupos se calcularon con las pruebas T de Student para muestras dependientes y Rangos de Wilcoxon. Las pruebas estadísticas se complementaron con el cálculo del tamaño del efecto. Los principales hallazgos evidenciaron que la enseñanza del Datchball en esta etapa educativa, con el apoyo de las necesidades psicológicas básicas como estrategias motivacionales, favoreció el bienestar del alumnado y potenció su motivación autónoma, reduciendo al mismo tiempo la desmotivación. Asimismo, el carácter innovador de este deporte alternativo pareció fomentar una alta intención del alumnado por ser activo fuera del horario escolar.

Palabras clave:

Deporte alternativo, Teoría de la Autodeterminación, necesidad psicológica básica, motivación autónoma, adherencia deportiva.

Abstract:

The aim of this quasi-experimental study was to analyse the impact of an educational intervention centred on the practice of Datchball, together with the support of basic psychological needs provided by the Physical Education teacher, and to compare this impact with that of a control group not exposed to these specific motivational strategies. A total of 37 Year 5 pupils (M±SD: 10.50±0.93 years) from a state primary school in Spain participated in the study. Class groups were randomly assigned to either the experimental group (n=20) or the control group (n=17). The satisfaction of basic psychological needs, types of motivation, and pupils’ intention to be physically active were measured before and after the intervention. The scales reported acceptable to very good internal consistency (α>.70; ω>.70). Between-group differences were analysed using independent samples t-tests and the Mann-Whitney U test, while within-group differences were examined using paired samples t-tests and the Wilcoxon signed-rank test. All statistical analyses were complemented by effect size calculations. The main findings indicated that teaching Datchball at this educational stage, when accompanied by motivational strategies based on supporting basic psychological needs, promoted pupils’ well-being and enhanced their autonomous motivation, while simultaneously reducing levels of amotivation. Likewise, the innovative nature of this alternative sport seemed to encourage a strong intention among students to stay active outside school hours.

Keywords:

Alternative sport, Self-Determination Theory, basic psychological need, autonomous motivation, sport adherence.

Fecha de recepción: 4 de agosto de 2025
Fecha de aceptación: 17 de septiembre de 2025

Correspondencia: Juan M. García-Ceberino. E-mail: jmanuel.jmgc@gmail.com

Introducción

Los deportes alternativos se proponen como una herramienta educativa, dinámica y motivadora dentro del área de Educación Física (EF). Como principales características destacan la prevalencia del carácter recreativo y lúdico sobre el competitivo, la igualdad de oportunidades, el aumento de la motivación en el alumnado menos participativo gracias a la novedad, y la aparición de valores (Fierro-Suero et al., 2016). Específicamente, se ha demostrado que la utilización de los deportes alternativos promueve el comportamiento moral y deportivo (Schwamberger & Curtner-Smith, 2017), y se encamina a la mejora de habilidades motrices para la iniciación deportiva (Corredor, 2007).

Entre los deportes alternativos, el Datchball resulta apropiado para la aplicación de estrategias motivacionales al tratarse de un deporte de reglas simples y fácil comprensión, que permite la participación simultánea de todo el alumnado sin requerir habilidades técnicas avanzadas. Este deporte fue creado por el maestro de EF, Roberto Navarro Arbués, de la escuela rural de Educación Primaria de Brea de Aragón (Zaragoza). El Datchball se basa en una serie de adaptaciones del Dodgeball, deporte estadounidense, y el balón prisionero. Se clasifica como un deporte de cancha dividida en la cual dos equipos compiten entre sí y que tiene como principal meta eliminar a todos los integrantes del equipo rival mediante el lanzamiento de tres balones de juego. El espacio de juego es rectangular y está claramente definido por una línea central que divide de manera equitativa el espacio de juego de cada equipo (Navarro, 2018).

La Teoría de la Autodeterminación, TAD (Deci & Ryan, 1985) es una de las teorías motivacionales más usadas en el área de EF. La TAD estudia el grado en el que el comportamiento humano es autodeterminado, es decir, hasta qué punto las acciones se realizan por voluntad propia. Para comprender mejor los procesos motivacionales en las clases de EF, se deben examinar tres mini-teorías dentro de la TAD: i) la Teoría de las Necesidades Psicológicas Básicas (NPB); ii) los tipos de motivación dentro de la Teoría de la Integración Orgánica; o iii) el estilo interpersonal docente (estilo de apoyo o controlador) dentro de la Teoría de la Evaluación Cognitiva (Deci & Ryan, 2012; Deci & Ryan, 2000; Ryan & Deci, 2017).

Deci y Ryan (2012) postulan tres NPB naturales e innatas: autonomía (sentirse el origen de las propias acciones), competencia percibida (percibir eficacia y dominio en las tareas) y relaciones sociales (conexión y afecto con otros). Posteriormente, González-Cutre et al. (2016) señalan la novedad como una cuarta necesidad. Cuando el docente de EF adopta un estilo interpersonal de apoyo a las NPB, es decir, proporciona elección y justificación (autonomía), una estructura clara, metas alcanzables y retroalimentación constructiva (competencia percibida), calidez, cuidado y vínculo (relaciones sociales), además de tareas novedosas (novedad) causará la satisfacción de estas necesidades en el alumnado. En cambio, un estilo controlador basado en la presión, los castigos, la comparación, el feedback negativo, el caos, o la frialdad provocará la frustración de esas necesidades en el alumnado (Deci & Ryan, 2012; Deci & Ryan, 2000; Ryan & Deci, 2017), generando un ambiente negativo en el aula (Granero-Gallegos et al., 2022). En escuelas primarias, se han evidenciado asociaciones entre las prácticas de apoyo a las NPB por parte del docente y la satisfacción con las necesidades y motivación del alumnado (Ahn et al., 2021; Csordás-Makszin et al., 2025).

De acuerdo con la TAD, cuando los alumnos y alumnas sienten satisfechas las NPB se favorecerá la motivación autónoma; mientras que la frustración de las NPB causará motivación controlada, o incluso, desmotivación (Vansteenkiste et al., 2020). La motivación autónoma se da cuando un individuo realiza una actividad de manera voluntaria, realizada por decisión propia, y porque le resulta significativa, interesante o placentera. La motivación autónoma agrupa la motivación intrínseca, y las regulaciones motivacionales integrada e identificada. La motivación intrínseca es la principal motivación del tipo autónomo y se define como realizar una acción por el simple placer o disfrute que produce. La regulación integrada se entiende cómo realizar una acción que está alineada con los valores, la identidad o las metas personales. Y la regulación identificada se da cuando el individuo comprende y acepta el valor de dicha acción, aunque no le parezca muy divertida (Ryan & Deci, 2017). Cuando el docente favorece la motivación autónoma, el alumnado consigue implicarse más en lo que está realizando y disfruta (Pineda-Espejel et al., 2016). Por otro lado, la motivación controlada ocurre cuando un individuo realiza algo debido a fuerzas externas o internas, y no porque quiera hacerlo. La acción se realiza para obtener beneficios, evitar castigos o emociones como el remordimiento o la vergüenza. La motivación controlada agrupa dos tipos de regulación motivacional: introyectada y externa. La regulación introyectada se define como realizar una acción para evitar la autoculpa, la vergüenza o para mantener el respeto propio. La regulación externa se entiende cómo realizar una acción para evitar una penalización u obtener un premio. Este tipo de regulación es la forma menos autodeterminada de la TAD (Ryan & Deci, 2017). Estos dos tipos de regulación comparten el rasgo de que la acción se realiza “debido a” o “como una necesidad”, no por deseo (Cádiz-Chacón et al., 2021). La falta de motivación es una condición en la que un individuo no encuentra razones o carece de interés por realizar una tarea (Deci & Ryan, 2012).

Comprender qué lleva a los docentes de EF a adoptar un estilo (des)motivador es necesario para diseñar e implementar programas de formación eficaces (Escriva-Boulley et al., 2021). En relación con esto, Cantonero-Cobos et al. (2025) diseñaron, validaron y evaluaron un programa formativo en el clima motivacional y emocional. Este mismo programa ha demostrado ser eficaz en la actitud de docentes de EF en la Educación Secundaria a la hora de apoyar las NPB con resultados positivos en la motivación del alumnado (Cantonero-Cobos et al., 2024).

La satisfacción de las NPB aumenta no solo el nivel de impulso, sino también la probabilidad del alumnado de apegarse a los hábitos activos (Vasconcellos et al., 2020). Sin embargo, la aparición de las regulaciones menos autodeterminadas puede causar que disminuya su predisposición a la hora de participar voluntariamente en actividades físico-deportivas, tanto dentro como fuera del ámbito escolar, algo que puede provocar problemas de salud con el paso del tiempo (Fierro-Suero et al., 2022; Navarro-Patón et al., 2017). La EF, obligatoria para el alumnado, es un contexto atractivo para el estudio de variables relacionadas con la actividad física (Franco & Coterón, 2017). Estudios previos revelan la asociación entre los patrones motivacionales en el área de EF y las conductas relacionadas con la adherencia deportiva: en Educación Primaria (García-Ceberino et al., 2023; García-Ceberino et al., 2021), y en Educación Secundaria y Bachillerato (Fernández-Espínola et al., 2021; Fierro-Suero et al., 2023). Esta asociación ocurre también en la formación profesional de las actividades físico-deportivas (Camacho-Carranza & Almagro, 2024).

En definitiva, el alumnado motivado de forma autónoma emerge cuando el docente apoya sus NPB; por el contrario, cuando éste las controla, se crea un entorno que frustra esas necesidades y deteriora tanto el bienestar como la motivación (Cantonero-Cobos et al., 2024; Fierro-Suero, Almagro, Sáenz-López, et al., 2020; Fierro-Suero et al., 2024). Por ello, el objetivo del estudio fue analizar el impacto de una situación educativa centrada en el deporte alternativo del Datchball, con apoyo de las NPB, así como comparar dicho impacto con un grupo control sin apoyo específico de estas estrategias motivacionales. Atendiendo al grupo experimental, se hipotetizó lo siguiente: H1) Mostrará una mejora significativa en la satisfacción con las NPB, en concreto, con la competencia; H2) Presentará una mejora significativa en la motivación autónoma; H3) Presentará un descenso significativo en la motivación controlada y la desmotivación; H4) Evidenciará una mejora significativa en la intencionalidad del alumnado de seguir practicando actividad física fuera de la escuela; H5) Mostrará una mejora significativa en todas las variables entre las mediciones inicial y final. Las hipótesis son unidireccionales, dado que especifican el sentido del cambio esperado en una sola dirección.

Método

Diseño del estudio y consideraciones éticas

Se llevó a cabo un estudio cuasi-experimental de grupos no equivalentes con medidas pre-test y post-test, con un grupo experimental y un grupo control (Ato et al., 2013), para evaluar los efectos de la intervención. El grupo experimental recibió enseñanzas acerca del Datchball, con el apoyo de las NPB como estrategias motivacionales, mientras que el grupo control recibió enseñanzas sobre el Datchball sin aplicar de manera específica estas estrategias motivacionales.

Se respetaron las directrices éticas de la Declaración de Helsinki de 1975 (con modificaciones en años posteriores), y la Ley Orgánica 3/2018, de 5 de diciembre, de protección de datos de carácter personal en investigación y garantía de los derechos digitales, a fin de garantizar las consideraciones éticas de la investigación científica con seres humanos. Se obtuvo un informe favorable del Comité de Bioética de la Universidad de Extremadura (Código: 145/2025).

Población, participantes y muestra

Participaron en el estudio 37 alumnos y alumnas, 21 chicos y 16 chicas (M±DT: 10,50±0,93 años) de quinto nivel de Educación Primaria escolarizados en un mismo colegio público del suroeste de España. Había dos grupos-clase distintos dentro de este nivel educativo. La selección del grupo-clase para participar en el grupo experimental (n=20; 11 chicos y 9 chicas) o en el grupo control (n=17; 10 chicos y 7 chicas) se realizó aleatoriamente mediante lanzamiento de moneda (aleatorización simple). Los grupos-clase, naturales, no fueron modificados para mantener la validez ecológica del estudio.

Los criterios de inclusión fueron los siguientes: i) la firma de un consentimiento informado por parte del padre, madre o tutor legal; ii) participar en las dos mediciones; y iii) participar al menos en el 80% de las clases de la intervención. Al respecto, la situación educativa se integró dentro de la programación anual del docente de EF, por lo que no aceptar estos criterios no implicaba quedar excluido de las clases, sino únicamente no responder a los instrumentos de evaluación. No se produjo ninguna muerte experimental (tasa de participación del 100%).

Se realizó un muestreo por conveniencia (Hernández et al., 2014), eligiéndose un centro escolar que estuviera a menos de 30 kilómetros de los investigadores y que autorizó realizar el estudio.

Variables e instrumentos

La variable independiente del estudio fue el apoyo a la autonomía, la competencia percibida, la relación social y la novedad en la condición experimental. Las variables dependientes fueron las dimensiones de las escalas seleccionadas. Todas las escalas se respondían con una escala Likert de 1 a 5 puntos, donde 1 = Totalmente en desacuerdo y 5 = Totalmente de acuerdo. Se calculó la consistencia interna de las escalas a través de los coeficientes Alpha de Cronbach y Omega de McDonald (Cronbach, 1990; Hayes et al., 2020; Nunnally, 1978).

La satisfacción de las NPB se midió usando la Escala de Medición de las Necesidades Psicológicas Básicas en el Ejercicio, adaptada al contexto español y al área de EF (Moreno et al., 2008); y la Escala de Satisfacción de la Necesidad de Novedad (González-Cutre & Sicilia, 2019; González-Cutre et al., 2016). De forma conjunta, se obtuvo una consistencia interna muy buena en el pre-test con un α de ,83 y un ω de ,84; y muy buena en el post-test con un α de ,89 y un ω de ,89.

Los tipos de motivación y regulaciones motivacionales se medió con la Escala del Locus Percibido de Causalidad en Educación Física (Ferriz et al., 2015). Se analizó la motivación autónoma (valor promedio de la motivación intrínseca, y las regulaciones integrada e identificada), así como la motivación controlada (valor promedio de las regulaciones introyectada y externa). La escala total obtuvo una consistencia interna muy buena en el pre-test con un α de ,82 y un ω de ,82; y aceptable en el post-test con un α de ,71 y un ω de ,72.

La intención del alumnado de ser activo fuera del horario escolar se calculó con la Medida de la Intencionalidad de seguir siendo Físicamente Activo, adaptada al contexto español y al área de EF (Moreno et al., 2007). La escala total obtuvo una consistencia interna aceptable en el pre-test con un α de ,72 y un ω de 0,75; y muy buena en el post-test con un α de ,81 y un ω de 0,81.

Procedimiento

Obtenidas las autorizaciones necesarias, se llevó a cabo la intervención con una duración de tres semanas. El estudio se estructuró en tres fases: medida inicial (pre-test), intervención didáctica, y medida final (post-test). En la primera fase, los alumnos y alumnos de ambos grupos-clase cumplimentaron las diferentes escalas. La duración fue de 45-50 minutos aproximadamente. Los investigadores explicaron cada una de las escalas y resolvieron todas las dudas que surgieron. Se les animó a que respondieran con sinceridad, ya que las respuestas eran anónimas. Las escalas se completaron en el aula, sin la presencia del maestro, en un ambiente que les permitió concentrarse sin distracciones.

En la segunda fase, uno de los investigadores -Graduado en Educación Primaria con mención en EF y formado en las estrategias motivacionales- impartió una situación educativa centrada en el Datchball en el grupo experimental. Por su parte, el maestro de EF del propio centro escolar impartió la misma situación educativa (mismos objetivos didácticos y tareas de aprendizaje), pero sin conocer las estrategias motivacionales, siguiendo así su rutina pedagógica habitual. La intervención consistió en un total de nueve clases distribuidas en tres clases por semana, a lo largo de tres semanas consecutivas. Cada clase tuvo una duración de 55 minutos.

Se siguió el protocolo formativo establecido por Franco y Coterón (2017) en un estudio previo para la formación teórica del investigador que impartió la situación educativa con el apoyo de las NPB: a) postulados generales de la TAD, con énfasis en las mini-teorías de la satisfacción de las NPB, la Teoría de la Integración Orgánica y la Teoría de la Evaluación Cognitiva (Deci & Ryan, 2012); b) estrategias motivacionales para promover entornos de aprendizaje que fomenten las necesidades de autonomía, competencia percibida, relación social y novedad; y c) trabajos con diseños experimentales previamente desarrollados. La Tabla 1 detalla las estrategias motivacionales de apoyo a las NPB implementadas, basadas en las estrategias sugeridas en la literatura científica (Cantonero-Cobos et al., 2025; Fierro-Suero, Almagro, Castillo, et al., 2020; Standage & Ryan, 2012). Para asegurar la correcta aplicación de las estrategias motivacionales, el investigador anotaba previamente en un documento escrito las estrategias a implementar en cada clase de EF.

Tabla 1

Estrategias motivacionales de apoyo a las NPB.

Apoyo a la autonomía

• Dar la posibilidad de elección en las tareas (p. ej., posición dentro del campo o tipo de lanzamiento)

• Implicar al alumnado de forma activa (p. ej., rotación de roles: lanzador, recuperador)

• Fomentar la implicación cognitiva (p. ej., planificación de tácticas de equipo: ataque y defensa)

• Explicar el propósito de las tareas

• Toma de decisiones conjunta entre el alumnado y el docente (p. ej., planificación de tácticas de equipo: ataque y defensa)

• Facilitar el autocontrol de la práctica deportiva (p. ej., animar al alumnado a autorregular la intensidad del juego según sus capacidades)

Apoyo a la competencia percibida

• Centrarse en mejorar la propia tarea, reto personal (p. ej., mejorar el número de atrapadas)

• Plantear objetivos realistas y a corto plazo

• Posibilitar oportunidades y tiempo para el progreso (p. ej., practicar lanzamientos o defensas antes de la partida)

• Focalizar la información en los elementos controlables por el alumnado

• Proporcionar feedback positivo (p. ej., refuerzo verbal de los logros individuales y de equipo)

• Utilizar criterios de evaluación relativos al progreso personal (p. ej., evaluación del avance respecto al desempeño anterior)

Apoyo a la relación social

• Actividades grupales

• Variar los tipos de agrupación (p. ej., equipos diferentes en cada partida)

• Implicar al alumnado en la toma conjunta de decisiones (p. ej., decisión de tácticas y roles entre todos)

• Generar buen ambiente de práctica (p. ej., celebrar los aciertos de todos los compañeros)

• Respetar a los demás (p. ej., establecimiento de normas de juego claras)

Apoyo a la novedad

• Plantear tareas variadas y novedosas (el propio deporte del Dachtball genera novedad) (p. ej., usar pelotas de distintos tamaños o lanzar desde diferentes posiciones)

En la tercera fase, el alumnado de ambos grupos-clase volvió a cumplimentar las mismas escalas, siguiendo un protocolo y una duración similares a los establecidos en la fase inicial.

Análisis estadístico

Primero, se contrastaron los supuestos de normalidad con la prueba Shapiro-Wilk (N < 50) y de homocedasticidad con la prueba de Levene (comparación entre dos grupos). Los descriptivos se expresaron como media y desviación típica (Field, 2013).

Las diferencias intra-grupos se calcularon con la prueba t-Student para muestras dependientes (prueba paramétrica) o los rangos de Wilcoxon (prueba no paramétrica). Además, las diferencias inter-grupos se calcularon mediante la prueba t-Student para muestras independientes (prueba paramétrica) o la prueba U de Mann-Whitney (prueba no paramétrica) (Field, 2013). Por último, se calculó el tamaño del efecto a través del coeficiente d de Cohen (pruebas paramétricas) y la fórmula r de Rosenthal (pruebas no paramétricas) (Cohen, 1988; Tomczak & Tomczak, 2014). Se consideraron los siguientes intervalos para la d de Cohen: pequeño (0,10 – 0,20), moderado (0,20 – 0,60) elevado (0,60 – 1,20) y muy elevado (≥1,20); y para la r de Rosenthal: pequeño (,10 – ,30), moderado (,30 – ,50) elevado (,50 –,70) y muy elevado (≥,70).

Se utilizó el software Jamovi, versión 2.6.44 (The-jamovi-project, 2024) para realizar los análisis estadísticos. Se consideró un nivel de significación de p<,05.

Resultados

Análisis preliminar

Esta investigación cumplió el supuesto de semejanza de grupos en el pre-test en las necesidades de autonomía (t=0,21; p=,84; d=0,07), competencia percibida (t=1,19; p=,24, d=0,39), relación social (t=1,69; p=,10, d=0,56), y novedad (t=0,49, p=,63, d=0,16). Ambos grupos-clase también fueron semejantes en la motivación autónoma (t=1,09; p=,29; d=0,38), motivación controlada (t=1,23; p=,23; d=0,41) y desmotivación (t=0,87; p=,39; d=0,29), así como en la intencionalidad del alumnado de continuar siendo físicamente activos (t=1,67; p=,10; d=0,55). Partir con grupos homogéneos es un requisito de los diseños cuasi-experimentales.

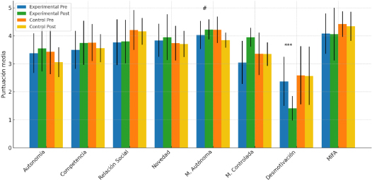
En la Figura 1 se exponen los resultados descriptivos del grupo experimental y del control en las mediciones pre-test y post-test. En el grupo experimental, se observa un aumento en los valores promedios en todas las variables psicológicas al término de la intervención, salvo en la intención del alumnado de ser físicamente activos, que se mantuvo estable, y en la desmotivación, cuyo valor promedio disminuyó. En cambio, los valores promedios en el grupo control se mantuvieron relativamente estables entre el pre-test y el post-test.

Figura 1

Valores promedios del grupo experimental y del grupo control en las mediciones pre-test y post-test.

Nota: MIFA=Medida de la Intencionalidad de seguir siendo Físicamente Activo. #p=,07 (marginalmente significativo); p***<,001.

Diferencias inter-grupos

Las diferencias en las variables psicológicas entre el grupo experimental y el grupo control al término de la intervención, se indican en la Tabla 2. Se identificaron diferencias estadísticamente significativas (p<,05) en las siguientes variables: autonomía, motivación autónoma, motivación controlada y desmotivación, a favor del grupo experimental. De forma que, la intervención pudo tener un impacto positivo sobre estos constructos motivacionales.

Tabla 2

Diferencias inter-grupos en las variables psicológicas, finalizada la situación educativa.

Experimental

Control

Diferencias inter-grupos

Variable

M

DT

M

DT

t/U

p-valor

ES

Autonomía

3,55

0,82

3,06

0,53

-2,12

,04*

0,70

Competencia1

3,75

0,78

3,56

0,50

126

,17

0,22

Relación Social

3,80

0,78

4,16

0,48

1,67

,10

0,55

Novedad1

3,95

0,82

3,71

0,47

128

,20

0,21

M. Autónoma

4,23

0,36

3,82

0,28

-3,88

<,001***

1,28

M. Controlada

3,95

0,34

3,35

0,42

-4,82

<,001***

1,59

Desmotivación1

1,41

0,44

2,57

1,04

0,58

<,001***

0,85

MIFA

4,06

0,94

4,34

0,52

148,00

,75

0,12

Nota: M=Media; DT=Desviación Típica; t=T-Student para muestras independientes; U=U de Mann Whitney; ES=Tamaño del Efecto; MIFA=Medida de la Intencionalidad de seguir siendo Físicamente Activo. 1 Empleo de pruebas no paramétricas. * p<,05; *** p<,001.

Diferencias intra-grupos

La Tabla 3 muestra los efectos de la intervención en ambos grupos (experimental y control) entre las mediciones pre-test y post-test. En el grupo experimental, aumentaron los valores promedios en las NPB, así como en la motivación autónoma y la motivación controlada. Destaca el caso de la desmotivación, que reportó un descenso estadísticamente significativo. Si bien el valor p no alcanzó el nivel de significación (p-valor=,07) en la motivación autónoma, el tamaño del efecto (d=,37) sugería una tendencia marginalmente significativa, con una posible relevancia práctica. En el grupo control, no se encontraron diferencias estadísticas significativas en ninguna variable, con valores promedios que se mantuvieron o, incluso, llegaron a descender, como en el caso de la motivación autónoma. La intención del alumnado de ser físicamente activo fue alta, incluso antes de iniciar la intervención, con valores promedios próximos a cinco.

Tabla 3

Diferencias intra-grupos en las variables psicológicas entre el pre-test y el post-test.

Pre-test

Post-test

Diferencias intra-grupos

Grupo

Variable

M

DT

M

DT

t/W

p-valor

ES

Experimental

Autonomía

3,38

0,71

3,55

0,82

-0,84

,21

0,19

Competencia

3,50

0,68

3,75

0,79

-1,33

,10

0,30

Relación Social1

3,77

0,82

3,80

0,78

33

,20

0,28

Novedad

3,84

0,59

3,95

0,82

-0,69

,25

0,15

M. Autónoma

4,03

0,50

4,23

0,36

-1,55

,07#

0,37

M. Controlada

3,05

0,77

3,95

0,34

-5,99

1,00

1,34

Desmotivación

2,37

0,88

1,41

0,44

4,27

<,001***

0,98

MIFA

4,08

0,72

4,06

0,94

52,50

,34

0,12

Control

Autonomía1

3,43

0,80

3,06

0,53

103,00

,99

0,72

Competencia

3,76

0,66

3,56

0,50

1,92

,97

0,48

Relación Social

4,21

0,71

4,16

0,48

0,46

,67

0,11

Novedad

3,74

0,62

3,71

0,47

0,44

,67

0,11

M. Autónoma

4,22

0,47

3,85

0,27

5,05

1,00

1,30

M. Controlada

3,36

0,76

3,35

0,42

0,14

,55

0,03

Desmotivación1

2,59

1,04

2,57

1,04

1,00

,98

1,00

MIFA

4,42

0,46

4,34

0,52

3,00

,96

1,00

Nota: M=Media; DT=Desviación Típica; t=T-Student para muestras dependientes; W=Rangos de Wilcoxon; ES=Tamaño del Efecto; MIFA=Medida de la Intencionalidad de seguir siendo Físicamente Activo.1 Empleo de pruebas no paramétricas. # p=,07 (marginalmente significativo); *** p<,001.

Discusión

El objetivo del presente estudio fue analizar el impacto de una situación educativa centrada en el Datchball, junto con el apoyo de las NPB como estrategias motivacionales, así como comparar dicho impacto con un grupo control sin el apoyo específico de estas estrategias. Los resultados obtenidos evidenciaron que la enseñanza del Datchball en las clases EF, junto con un estilo interpersonal docente de apoyo (Ryan & Deci, 2017), incrementó significativamente la satisfacción con la necesidad de autonomía y la motivación autónoma, reduciendo al mismo tiempo los niveles de desmotivación. El carácter innovador de este deporte alternativo pareció contribuir a una alta intención del alumnado por mantener la actividad física fuera del contexto escolar.

Diferencias inter-grupos

Respecto a las diferencias inter-grupos, se identificaron diferencias significativas en la necesidad de autonomía, la motivación autónoma, la motivación controlada y la desmotivación, a favor del grupo experimental. De manera que, se aceptó la H1 parcialmente, mientras que la H2 y la H3 tuvieron una aceptación total. Los resultados están en línea con la TAD (Deci & Ryan, 2012; Ryan & Deci, 2017), la cual postula que el apoyo a la autonomía es uno de los factores sociales más importantes para explicar los procesos motivacionales. Estudios previos en escuelas primarias (Ahn et al., 2021; Csordás-Makszin et al., 2025) evidenciaron que las intervenciones con apoyo a las NPB por parte del docente se asociaban a la satisfacción de las necesidades y la motivación del alumnado. En cuanto a la motivación autónoma, siendo la motivación intrínseca la principal motivación del tipo autónomo, los resultados difieren con un estudio similar realizado en el área de EF en Secundaria (Franco & Coterón, 2017), el cual reportó un aumento en esta motivación en el grupo experimental en comparación con otro grupo de control, pero los valores no fueron significativos. El hecho de que el alumnado participante en este estudio sintiera mayor satisfacción con la necesidad de autonomía podría haber propiciado la aparición de motivos más autodeterminados para participar en las clases de EF. Por otro lado, se rechazó la H4, que señalaba mejoras significativas en la intención del alumnado de practicar actividad física fuera del horario escolar, al no encontrarse diferencias significativas entre los dos grupos.

Dentro de las NPB, únicamente la autonomía reportó diferencias significativas entre grupos. Este hecho podría explicarse en que la intervención implementada en el grupo experimental estuvo especialmente orientada a ofrecer una mayor participación activa y oportunidades de decisión al alumnado, impactando directamente en su autonomía. Sin embargo, la competencia, relación social y novedad podrían requerir intervenciones más prolongadas en el tiempo para provocar cambios significativos, ya que se construyen a través de la retroalimentación continua, el clima de grupo y la innovación en las tareas. Este hallazgo está en la línea con la literatura que señala la autonomía como la necesidad más sensible a los apoyos docentes inmediatos (Deci & Ryan, 2012; Vansteenkiste et al., 2020).

Diferencias intra-grupos

La condición experimental no provocó un cambio significativo en la satisfacción con las NPB. A diferencia de los resultados reportados en este estudio, Franco y Coterón (2017) sí obtuvieron mejoras significativas con la satisfacción de autonomía y la competencia percibida al término de una situación educativa centrada en el rugby en la epata de Educación Secundaria. La diferencia entre ambos estudios estuvo en el número de clases de EF, siendo inferior en este. Esto sugiere que, aunque ciertas variables motivacionales son susceptibles de modificación en un corto periodo de tiempo, podría requerirse de intervenciones más prolongadas en el tiempo. Por ejemplo, se necesita dar a los individuos suficiente tiempo para que puedan tener bastantes experiencias exitosas que les hagan sentirse competentes (Franco & Coterón, 2017). Amado et al. (2014), coincidiendo con los resultados del presente estudio, también señalaron ausencia de cambios significativos en la satisfacción con las necesidades de competencia percibida y relación social al implementarse programas cortos que apoyaban las NBP.

La condición experimental tampoco generó un cambio significativo en la intención del alumnado de ser físicamente activos fuera del horario escolar. Estos resultados coinciden con un estudio similar desarrollado en el área de EF en Secundaria (Franco & Coterón, 2017). A su vez, Cantonero-Cobos et al. (2024), también en centros de Educación Secundaria, sí encontraron mejoras en la intención de los estudiantes de practicar actividad física futura, afirmando que el área de Educación Física, por sí misma, es promotora de la actividad física escolar y extraescolar. Esta afirmación está en consonancia con las puntuaciones reportadas en el presente estudio acerca de la intencionalidad del alumnado de ser físicamente activos, siendo elevadas antes de iniciar la intervención.

Destaca el caso de la desmotivación, que reportó un descenso estadísticamente significativo. Así mismo, la motivación autónoma mejoró marginalmente, con una posible relevancia práctica. Es decir, aunque no alcanzó una significación estadística convencional, el tamaño del efecto sugiere una posible tendencia que merece investigación futura. En otro estudio realizado en Educación Secundaria (Van Doren et al., 2021), el estilo interpersonal docente de apoyo a las NPB tuvo un impacto positivo en la motivación autónoma, repercutiendo en el descenso de la desmotivación. Por tanto, se aceptó parcialmente la H5. En el grupo control, no hubo diferencias significativas en ninguna variable estudiada, con valores promedios que se mantuvieron o, incluso, llegaron a descender, como en el caso de la motivación autónoma.

Limitaciones, fortalezas y prospectivas de investigación

Este presente estudio tuvo algunas limitaciones que deben mencionarse. La primera limitación está relacionada con el tamaño de la muestra, que se debió a las dificultades para poder realizar un estudio de intervención en un contexto escolar estructurado. El tamaño muestral limitado pudo limitar el poder estadístico para detectar efectos pequeños a moderados. Sería interesante aumentar el tamaño muestral en futuros estudios, lo que permitiría aplicar análisis estadísticos predictivos y explicativos (Ato et al., 2013), como el modelado de ecuaciones estructurales. Así mismo, y con base en la literatura (Amado et al., 2014; Franco & Coterón, 2017), sería interesante aumentar la duración de la intervención docente para incrementar las posibilidades de modificar las conductas. La duración de tres semanas, aunque práctica desde una perspectiva escolar, podría ser insuficiente para generar cambios más profundos en las variables motivacionales. A pesar de estas limitaciones, los hallazgos del presente estudio respaldaron los postulados de la TAD en el área de EF (Vasconcellos et al., 2020). Al respecto, este estudio añade a la literatura existente un ejemplo de implementación de estrategias motivacionales que apoyan las NPB, así como sus resultados en un contexto real de EF. Asimismo, se amplía la literatura al examinar este tópico de investigación en la etapa de Educación Primaria, ya que son pocos los estudios realizados en escuelas primarias. Futuros estudios podrían examinar los efectos a largo plazo de estas intervenciones o comparar diferentes deportes alternativos.

Conclusiones

Los hallazgos de este estudio respaldan la Teoría de la Autodeterminación y ponen en valor que la inclusión del Datchball en las programaciones, junto al apoyo de las necesidades psicológicas básicas como estilo interpersonal docente, ayuda a la satisfacción de la autonomía y aumenta la motivación autónoma del alumnado, al tiempo que reduce su desmotivación. Igualmente, el carácter innovador de este deporte alternativo parece contribuir a una alta intencionalidad del alumnado por mantener la actividad física fuera del contexto escolar. Los docentes de Educación Física podrían implementar estas estrategias motivacionales iniciando con deportes alternativos novedosos que permitan mayor flexibilidad en las reglas y adaptaciones.

Agradecimientos

Los autores agradecen al centro escolar y al docente de Educación Física su colaboración y por haber facilitado la realización del estudio, así como al alumnado participante por su implicación.

Conflicto de interés

Los autores declaran no tener conflicto de interés.

Financiación

Esta investigación ha sido parcialmente subvencionada por la Ayuda a Grupos de Investigación (GR24133). Ha sido cofinanciado al 85% por la Unión Europea a través de los Fondos Europeos de Desarrollo Regional, y la Junta de Extremadura (Consejería de Educación, Ciencia y Formación Profesional). La Autoridad de Gestión es el Ministerio de Hacienda.

Referencias

Ahn, I., Chiu, M. M., & Patrick, H. (2021). Connecting teacher and student motivation: Student-perceived teacher need-supportive practices and student need satisfaction. Contemporary Educational Psychology, 64, 101950. https://doi.org/10.1016/j.cedpsych.2021.101950

Amado, D., Del Villar, F., Leo, F. M., Sánchez-Oliva, D., Sánchez-Miguel, P. A., & García-Calvo, T. (2014). Effect of a Multi-Dimensional Intervention Programme on the Motivation of Physical Education Students. PLoS ONE, 9(1), e85275. https://doi.org/10.1371/journal.pone.0085275

Ato, M., López, J. J., & Benavente, A. (2013). Un sistema de clasificación de los diseños de investigación en psicología. Anales de Psicología, 29(3), 1039-1059. https://doi.org/10.6018/analesps.29.3.178511

Cádiz-Chacón, P., Barrio Mateu, L. A., León Valladares, D., Hernández Sánchez, Á., Milla Palma, M., & Sotomayor Fernández, M. (2021). Motivación contextual desde la autodeterminación en las clases de Educación Física. Retos. Nuevas Tendencias en Educación Física, Deporte y Recreación, 41, 88-94. https://doi.org/10.47197/retos.v0i41.80998

Camacho-Carranza, Á., & Almagro, B. J. (2024). Motivational factors, self-esteem and intention to be physically active in sports vocational training students. E-balonmano Com, 20(3), 331-342. https://doi.org/10.17398/1885-7019.20.331

Cantonero-Cobos, J. M., García-Ceberino, J. M., Conde, C., Sáenz-López, P., & Fierro-Suero, S. (2025). Design, validation and evaluation of the training programme for teachers: Emotional and Motivational Climate in the classroom (CEYM). E-balonmano Com, 21(2), 229-240. https://doi.org/10.17398/1885-7019.21.229

Cantonero-Cobos, J. M., Real-Arsuaga, Á., Barragán-Pereira, R., & García-Ceberino, J. M. (2024). Teacher Training and Motivational Climate in Physical Education: Secondary School Student Perception. E-balonmano Com, 20(3), 343-354. https://doi.org/10.17398/1885-7019.20.343

Cohen, J. (1988). Statistical Power Analysis for the Behavioral Sciences (2nd Ed.). Lawrence Erlbaum Associates.

Corredor, A. L. (2007). La iniciación deportiva en la Enseñanza Primaria: Los juegos motores modificados. Ensayos: Revista de la Facultad de Educación de Albacete, (22), 127-154.

Cronbach, L. J. (1990). Essentials of psychological testing (5th Ed.). Harper & Row.

Csordás-Makszin, Á., Spray, C. M., Berki, T., Hamar, P., Karsai, I., & Soós, I. (2025). Antecedents of physical education teachers’ motivational strategies in Central Europe. European Physical Education Review, 0(0). https://doi.org/10.1177/1356336X251337075

Deci, E. L., & Ryan, R. M. (2012). Self-determination theory. In P. A. M. V. L. A. W. Kruglanski, & E. T. Higgins (Ed.), Handbook of theories social psychology (pp. 416-437). Sage. http://dx.doi.org/10.4135/9781446249215.n21

Deci, E. L., & Ryan, R. M. (1985). Intrinsic Motivation and Self-Determination in Human Behavior. Plenum. https://doi.org/10.1007/978-1-4899-2271-7

Deci, E. L., & Ryan, R. M. (2000). The “What” and “Why” of goal pursuits: Human needs and the self-determination of behavior. Psychological Inquiry, 11, 227-268. https://doi.org/10.1207/S15327965PLI1104_01

Escriva-Boulley, G., Haerens, L., Tessier, D., & Sarrazin, P. (2021). Antecedents of primary school teachers’ need-supportive and need-thwarting styles in physical education. European Physical Education Review, 27(4), 961-980. https://doi.org/10.1177/1356336X211004627

Fernández-Espínola, C., Jorquera-Jordán, J., Paramio-Pérez, G., & Almagro, B. J. (2021). Necesidades psicológicas, motivación e intención de ser físicamente activo del alumnado de Educación Física. Journal of Sport and Health Research, 13(3), 467-480.

Ferriz, R., González-Cutre, D., & Sicilia, Á. (2015). Revisión de la Escala del Locus Percibido de Causalidad (PLOC) para la inclusión de la medida de la regulación integrada en Educación Física. Revista de Psicología del Deporte, 24(2), 329-338.

Field, A. (2013). Discovering statistics using SPSS statistics (4th Ed.). Sage Publications Ltd.

Fierro-Suero, S., Almagro, B. J., Castillo, I., & Sáenz-López, P. (2020). Herramienta de Observación del Clima Interpersonal Motivacional (OCIM) para docentes de Educación Física Cultura, Ciencia y Deporte, 15(46), 575-596. https://doi.org/10.12800/ccd.v15i46.1647

Fierro-Suero, S., Almagro, B. J., Sáenz-López, P., & Carmona-Márquez, J. (2020). Perceived novelty support and psychological needs satisfaction in physical education. International Journal of Environmental Research Public Health, 17(11), 4169. https://doi.org/10.3390/ijerph17114169

Fierro-Suero, S., Castillo, I., Almagro, B. J., & Saénz-López, P. (2023). The role of motivation and emotions in physical education: understanding academic achievement and the intention to be physically active. Frontiers in Psychology, 14, 1253043. https://doi.org/10.3389/fpsyg.2023.1253043

Fierro-Suero, S., Fernández-Ozcorta, E. J., & Sáenz-López, P. (2022). Students’ Motivational and Emotional Experiences in Physical Education across Profiles of Extracurricular Physical Activity: The Influence in the Intention to Be Active. International Journal of Environmental Research Public Health, 19(15), 9539. https://doi.org/10.3390/ijerph19159539

Fierro-Suero, S., Van Doren, N., De Cocker, K., & Haerens, L. (2024). Towards a refined insight into physical education teachers’ autonomy-supportive, structuring, and controlling style to the importance of student motivation: a person-centered approach. Physical Education and Sport Pedagogy, 1-17. https://doi.org/10.1080/17408989.2024.2432307

Fierro-Suero, S. F., Morillo, A. H., & Montilla, V. G. (2016). Los deportes alternativos en el ámbito educativo. E-Motion: Revista de Educación, Motricidad e Investigación, (6), 40-48. https://doi.org/10.33776/remo.v0i6.2800

Franco, E., & Coterón, J. (2017). The Effects of a Physical Education Intervention to Support the Satisfaction of Basic Psychological Needs on the Motivation and Intentions to be Physically Active. Journal of Human Kinetics, 59, 5-15. https://doi.org/10.1515/hukin-2017-0143

García-Ceberino, J. M., Feu, S., Gamero, M. G., & Ibáñez, S. J. (2023). Structural Relationship between Psychological Needs and Sport Adherence for Students Participating in Physical Education Class. Sustainability, 15(12), 9686. https://doi.org/10.3390/su15129686

García-Ceberino, J. M., Gamero, M. G., Feu, S., & Ibáñez, S. J. (2021). The perception of competence in football as indicator of the students’ intention to be physically active. E-balonmano Com, 17(1), 73-84. https://doi.org/10.17398/1885-7019.17.73

González-Cutre, D., & Sicilia, A. (2019). The importance of novelty satisfaction for multiple positive outcomes in physical education. European Physical Education Review, 25(2), 859-875. https://doi.org/10.1177/1356336X18783980

González-Cutre, D., Sicilia, A., Sierra, A. C., Ferriz, R., & Hagger, M. S. (2016). Understanding the need for novelty from the perspective of self-determination theory. Personality and Individual Differences, 102, 159-169. https://doi.org/10.1016/j.paid.2016.06.036

Granero-Gallego, A., Jorquera-Jordán, J., Carrasco-Poyatos, M., & Gómez-López, M. (2022). Controlling interpersonal style and motivation in Physical Education: a systematic review. E-balonmano Com, 18(3), 257-270. https://doi.org/10.17398/1885-7019.18.257

Hayes, A. F., Coutts, J. J., & Measures. (2020). Use omega rather than Cronbach’s alpha for estimating reliability. But…. Communication Methods, 14(1), 1-24. https://doi.org/10.1080/19312458.2020.1718629

Hernández, R., Fernández, C., & Baptista, P. (2014). Metodología de la Investigación (6th Ed.). McGraw-Hill.

Moreno, J. A., González-Cutre, D., Chillón, M., & Parra, N. (2008). Adaptación a la educación física de la escala de las necesidades psicológicas básicas en el ejercicio. Revista Mexicana de Psicología, 25(2), 295-303.

Moreno, J. A., Moreno, R., & Cervelló, E. (2007). El autoconcepto físico como predictor de la intención de ser físicamente activo. Psicología y Salud, 17(2), 261-267.

Navarro-Patón, R., Basanta-Camiño, S., & Abelairas-Gómez, C. (2017). Los juegos cooperativos: Incidencia en la motivación, necesidades psicológicas básicas y disfrute en Educación Primaria. Sportis. Scientific Journal of School Sport, Physical Education and Psychomotricity, 3(3), 599-614. https://doi.org/10.17979/sportis.2017.3.3.2088

Navarro, R. (2018). El Datchball, un deporte educativo nacido en la escuela. Forum Aragón: Revista Digital de FEAE-Aragón sobre Organización y Gestión Educativa, (25), 44-48.

Nunnally, J. C. (1978). Psychometric methods. McGraw-Hill.

Pineda-Espejel, H. A., Alarcón, E., López-Ruiz, Z., Trejo, M., & Chávez, C. (2016). Propiedades psicométricas de la Escala de Motivación en el Deporte revisada (SMS-II) adaptada al español hablado en México. RICYDE. Revista Internacional de Ciencias del Deporte, 12(44), 107–120. https://doi.org/10.5232/ricyde2016.04402

Ryan, R. M., & Deci, E. L. (2017). Self-Determination Theory. Basic Psychological Needs in Motivation, Development, and Wellness. The Guilford Press. https://doi.org/10.1521/978.14625/28806

Schwamberger, B., & Curtner-Smith, M. (2017). Influence of a training programme on a preservice teacher’s ability to promote moral and sporting behaviour in sport education. European Physical Education Review, 23(4), 428-443. https://doi.org/10.1177/1356336X16653586

Standage, M., & Ryan, R. M. (2012). Self-Determination theory and exercise motivation: Facilitating self-regulatory processes to support and maintain health and well-being. In G. Roberts & D. C. Treasure (Eds.), Advances in motivation in sport and exercise (pp. 233-270). Human Kinetics. https://doi.org/10.5040/9781492595182.ch-007

The-jamovi-project. (2024). Jamovi. (Version 2.6.44) [Computer Software] https://www.jamovi.org

Tomczak, M., & Tomczak, E. (2014). The need to report effect size estimates revisited. An overview of some recommended measures of effect size. TRENDS in Sport Sciences, 1(21), 19-25.

Van Doren, N., De Cocker, K., De Clerck, T., Vangilbergen, A., Vanderlinde, R., & Haerens, L. (2021). The relation between physical education teachers’(de-) motivating style, students’ motivation, and students’ physical activity: A multilevel approach. International Journal of Environmental Research and Public Health, 18(14), 7457. https://doi.org/10.3390/ijerph18147457

Vansteenkiste, M., Ryan, R. M., & Soenens, B. (2020). Basic psychological need theory: Advancements, critical themes, and future directions. Motivation and Emotion, 44(1), 1-31. https://doi.org/10.1007/s11031-019-09818-1

Vasconcellos, D., Parker, P. D., Hilland, T., Cinelli, R., Owen, K. B., Kapsal, N., Lee, J., Antczak, D., Ntoumanis, N., Ryan, R. M., & Lonsdale, C. (2020). Self-determination theory applied to physical education: A systematic review and meta-analysis. Journal of Educational Psychology, 112(7), 1444-1469. https://doi.org/10.1037/edu0000420