

Presente adecuadamente con sus incertidumbres asociadas, tanto absolutas como relativas, los parámetros medidos. Con todos estos parámetros, determine el valor de k utilizando la fórmula (4.7) y su incertidumbre. Discuta qué parámetro de los que interviene en la fórmula es más determinante a la hora de reducir el error en la determinación del coeficiente adiabático.
A la hora de realizar los cálculos preste especial atención al uso correcto de las unidades, por ejemplo, trabaje siempre en el Sistema Internacional. Realice la propagación de errores y vea si el valor del error es razonable a la vista del valor de k.
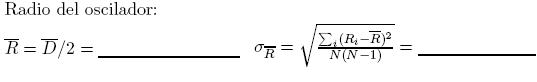
Diámetro del oscilador