Práctica 2: Densidad y humedad del aire
Desarrollo 1: determinación de la densidad del aire
El primer paso para la determinación de la densidad de una muestra de aire es la determinación de su masa.
En nuestro caso, queremos determinar la densidad de la muestra de aire que hay en el interior de la esfera de
vidrio. Para determinar la masa de esta muestra, se mide la masa de la esfera con aire, se extrae el aire y se
vuelve a medir la masa de la esfera. La diferencia entre las dos medidas nos dará la masa del aire.
¿No puedes ver la animación? Descarga flashplayer
- Por lo tanto, lo primero que hay que hacer es medir la masa de la esfera de vidrio con aire. Sea
esa masa, donde mS la masa de la esfera y mA
la masa de la muestra del aire (húmedo) que contiene.
- A continuación, con la ayuda de la bomba de vacío se extrae el aire del interior de la esfera. Para asegurar que
se ha extraido la mayor cantidad posible de aire debe dejarse conectada la bomba de vacío unos (3 minutos).
- Se cierra la llave de paso que conecta la bomba de vacío con la esfera de vidrio y se suelta la misma.
- Se mide la masa de la esfera de vidrio, mS (con la balanza de mayor precisión),
con lo cual ya podemos calcular la masa del aire que contenía en su interior, mA.
- El siguiente paso para medir la densidad del aire es medir el volumen de aire que ha sido extraido de la esfera.
Para ello, se introduce la esfera en un recipiente lleno de agua destilada desgasificada y se abre su llave de paso
inferior para llenarla de agua. La esfera no se llena totalmente porque el vacío que creo la bomba no es completo.
Sin embargo, esto no supone ningún problema ya que lo que nos interesa es el volumen del aire que ha sido extraido.
Este punto debe quedar perfectamente claro para el alumno.
- Se seca entonces cuidadosamente la parte exterior de la esfera (incluyendo el interior de los tubitos de vidrio
que quedan en la parte exterior de las llaves) y se determina la masa de la esfera llena de agua. Sea
esa masa, donde ms es la masa de la esfera y mw
la masa del agua que contiene. A partir de m2 se calcula trivialmente
mw. m2 se determina con la balanza de menor precisión.
- Se mide a continuación la temperatura del agua que hay en el recipiente donde se ha introducido la esfera,
Tw, y a partir de la densidad del agua destilada a esa temperatura
(tabla 1) y de la masa del agua, mw , se puede determinar el volumen del
agua,V, que coincide con el volumen del aire extraido.
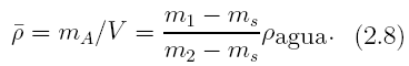
- Finalmente, la densidad del aire viene dada por