GEM Network
>
Docencia
>
meteo
Jueves 18 de Diciembre de 2025
Inicio
| Estás en
Prácticas
Práctica 2
Página 5
Portada
Teoría
Prácticas
Horarios
Tutorías
Descargas
Profesores
Enlaces
Práctica 2: Densidad y humedad del aire
Índice
1 |
Introducción y fundamento teórico
2 |
Materiales
3 |
Desarrollo 1
4 |
Desarrollo 2
5 | Resultados
6 |
Tablas de datos
Resultados experimentales
Determinación de la densidad del aire
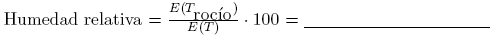
Determinación de T
r
, de h y de e con el higrómetro.
Determinación de T
r
, de h y de e con el psicrómetro.
Determinación de la densidad normal del aire
Capacidades y conocimientos que se deben adquirir
Entender qué significa y por qué es útil la definición de densidad normalizada.
Ser capaz de medir experimentalmente la densidad del aire.
Ser capaz de medir la humedad relativa con un higrómetro.
Ser capaz de medir la humedad relativa con un psicrómetro.
Ser capaz de determinar directamente el punto de rocío.
Ser capaz de estimar el error cometido al determinar el valor de la densidad del aire.
Anterior
|
1
2
3
4
5
6
|
Siguiente
¿Perdido?
|
¿Problemas con la web?
|
Mejora meteo
Website bajo
licencia CC
|
créditos